Номер 854 - ГДЗ Алгебра 8 класс. Мерзляк, Полонский. Учебник. Страница 217

Вернуться к содержанию учебника

Упражнения для повторения курса алгебры 8 класса. Страница 217

851 852 853 854 855 856 857

Вопрос

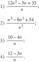
Найдите все натуральные значения , при которых является натуральным числом значение выражения:

Подсказка

Вспомните:

  1. Какие дроби называют рациональными.
  2. Какие выражения называются дробными, а какие целыми.
  3. Сокращение рациональной дроби.
  4. Сложение и вычитание рациональных дробей с одинаковыми знаменателями.
  5. Свойства степени с натуральным показателем.
  6. Какие числа называют натуральными.
  7. Деление и дроби.

Ответ


Вернуться к содержанию учебника