Номер 853 - ГДЗ Алгебра 8 класс. Мерзляк, Полонский. Учебник. Страница 217

Вернуться к содержанию учебника

Упражнения для повторения курса алгебры 8 класса. Страница 217

850 851 852 853 854 855 856

Вопрос

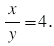
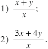
Известно, что Найдите значение выражения:

Подсказка

Вспомните:

  1. Буквенные и числовые выражения.
  2. Какие дроби называют рациональными.
  3. Какие выражения называются дробными, а какие целыми.
  4. Сокращение рациональной дроби.
  5. Сложение и вычитание рациональных дробей с одинаковыми знаменателями.
  6. Правила сложения и вычитания рациональных чисел.
  7. Какие числа являются взаимно обратными.

Ответ


Вернуться к содержанию учебника