Номер 843 - ГДЗ Алгебра 8 класс. Мерзляк, Полонский. Учебник. Страница 215

Вернуться к содержанию учебника

Упражнения для повторения курса алгебры 8 класса. Страница 215

840 841 842 843 844 845 846

Вопрос

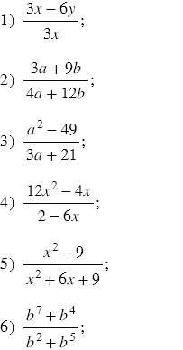
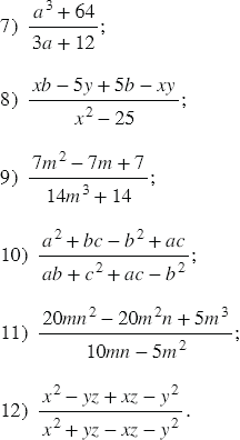
Сократите дробь:

Подсказка

Ответ


Вернуться к содержанию учебника