Задание 1009 - ГДЗ Геометрия 7-9 класс. Атанасян. Учебник

Старая и новая редакции

Вернуться к содержанию учебника

1006 1007 1008 1009 1010 1011 1012

Вопрос

Выберите год учебника

№1009 учебника 2013-2022 (стр. 247):

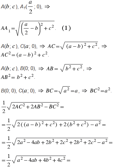
Докажите, что медиану АА1 треугольника АВС можно вычислить по формуле . Используя эту формулу, докажите, что если две медианы треугольника равны, то треугольник равнобедренный.


№1009 учебника 2023-2024 (стр. 252):

Найдите координаты вектора , если: а) , ; б) , ; в) , ; г) , .

Подсказка

№1009 учебника 2013-2022 (стр. 247):

Вспомните:

  1. Что такое медиана треугольника.
  2. Какой треугольник называется равнобедренным.
  3. Что такое прямоугольная система координат.
  4. Координаты точки.
  5. Как найти координаты середины отрезка и расстояние между точками, зная их координаты.

№1009 учебника 2023-2024 (стр. 252):

Вспомните:

  1. Что такое вектор.
  2. Координаты вектора.

Ответ

№1009 учебника 2013-2022 (стр. 247):


№1009 учебника 2023-2024 (стр. 252):


Вернуться к содержанию учебника