Номер 335 - ГДЗ Алгебра 8 класс. Мерзляк, Полонский. Учебник. Страница 83

Вернуться к содержанию учебника

Упражнения § 10. Страница 83

332 333 334 335 336 337 338

Вопрос

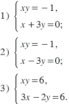
Определите графически количество решений системы уравнений:

Подсказка

Ответ


Вернуться к содержанию учебника