Номер 512 - ГДЗ Алгебра 7 класс. Мерзляк, Полонский. Учебник. Страница 94

Вернуться к содержанию учебника

Страница 94

509 510 511 512 513 514 515

Вопрос

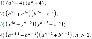
Выполните умножение двучленов ( - натуральное число):

Подсказка

Вспомните:

  1. Какие числа называют натуральными.
  2. Что называют двучленом.
  3. Что называют одночленом.
  4. Чему равно произведение разности двух выражений и их суммы.
  5. Степень с натуральным показателем.
  6. Свойства степени с натуральным показателем.
  7. Свойства действий с рациональными числами.

Ответ


Вернуться к содержанию учебника