Задание 613 - ГДЗ Геометрия 7-9 класс. Атанасян. Учебник

Старая и новая редакции

Вернуться к содержанию учебника

611 612 613 613 614 615 616

Вопрос

Выберите год учебника

№613 учебника 2013-2022 (стр. 160):

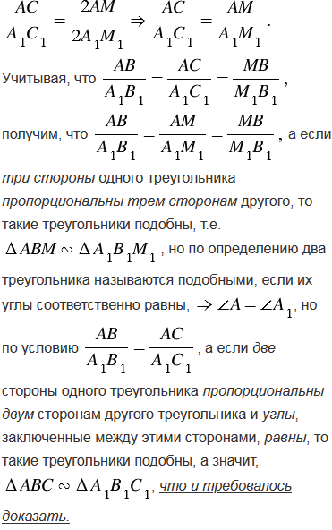
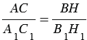
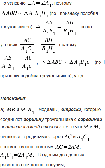
Докажите, что треугольники АВС и А1В1С1 подобны, если: а)  , где ВМ и В1М1 - медианы треугольников; б) А = А1, , где ВН и В1Н1 - высоты треугольников АВС и А1В1С1.


№613 учебника 2023-2024 (стр. 159):

Докажите, что сумма расстояний от точки на основании равнобедренного треугольника до боковых сторон не зависит от положения этой точки.

Подсказка

№613 учебника 2013-2022 (стр. 160):

Вспомните:

  1. Что такое отрезок.
  2. Какие отрезки называются пропорциональными.
  3. Что такое треугольник.
  4. Что такое медиана.
  5. Что такое высота.
  6. Какие треугольники называются подобными.
  7. Первый признак подобия треугольников.
  8. Второй признак подобия треугольников.
  9. Третий признак подобия треугольников.

№613 учебника 2023-2024 (стр. 159):

Вспомните:

  1. Что такое треугольник.
  2. Что такое высота треугольника.
  3. Что такое площадь.
  4. Как вычислить площадь треугольника.
  5. Что такое расстояние от точки до прямой.

Ответ

№613 учебника 2013-2022 (стр. 160):


№613 учебника 2023-2024 (стр. 159):


Вернуться к содержанию учебника